Steuerentlastungen: Freibeträge sollen steigen: Was bedeutet das?

Steuerzahler sollen entlastet werden: Wie hoch wird der Grundfreibetrag? Was ist mit dem Kinderfreibetrag?
Christin Klose/dpaSteigende Preise durch die Inflation hier, Entlastungen dort, Tankrabatt und Monatstickets - viele Bürger dürften längst den Überblick verloren haben im Gewirr der Mehrkosten und staatlichen Entlastungen. Die Bundesregierung will die Bevölkerung angesichts der aktuellen Lage entlasten. Schon im Frühjahr wurde ein Paket geschnürt, zu dem unter anderem die Energiepauschale und das 9-Euro-Ticket gehörten. Nun braucht es aber ein drittes Entlastungspaket, das jetzt beschlossen wurde. Finanzminister Christian Lindner (FDP) hat schon im August seine Pläne für die Steuerentlastung vorgestellt.
- Grundfreibetrag wird erhöht: Was bedeutet das?
- Kalte Progression: Was ist das?
- Kinderfreibetrag wird erhöht: Für wen gilt das?
- Rechner mit Beispielen
Kalte Progression: Was ist das und wie wirkt sie sich aus?
Grund für die Steuerentlastungen ist die sogenannte kalte Progression. Die kalte Progression tritt ein, wenn es eine Inflation gibt und zugleich die progressive Einkommenssteuer greift. In Deutschland haben wir eine progressive Einkommenssteuer, also: Wer mehr verdient, wird höher besteuert. Konkret unterliegt jeder zusätzlich verdiente Euro einem höheren Steuersatz. Wer 100 Euro verdient und eine Lohnerhöhung von einem Euro bekommt – auf diesen Euro gibt es dann einen höheren Steuersatz. Die Einkommenssteuer steigt also progressiv an, bis man 45 Prozent erreicht hat. Das ist der aktuell höchste Einkommenssteuersatz in Deutschland.
Normalerweise werden die Löhne der Arbeitnehmer mit der Zeit angepasst, um die reguläre Inflation auszugleichen oder sogar zu übersteigen. Allerdings haben wir aktuell eine Inflationsrate von fast 8 Prozent – und die Löhne steigen in diesem Maße nicht mit. In dieser Situation kommt es zur kalten Progression: die Löhne steigen etwas an, dadurch zahlt der Arbeitnehmer mehr Steuern - und hat wegen der hohen Inflation nicht mehr Geld in der Tasche, im schlimmsten Fall sogar noch weniger.
Lindner erklärte, bei geplanten Steuerentlastungen gehe weniger um eine zusätzliche Entlastung der Bürger, als um die Vermeidung einer zusätzlichen Belastung infolge der Inflation: „Hier geht es um den Verzicht auf Steuererhöhung„, sagte der FDP-Politiker. Wenn der Bund nicht handele, drohe 48 Millionen Menschen durch die kalte Progression eine heimliche Steuererhöhung.
Steuerfreibetrag wird erhöht: Was bedeutet diese Steuerentlastung?
Um gegen die kalte Progression und die „heimliche Steuererhöhung“ anzukämpfen hat Lindner eine Reihe von steuerlichen Entlastungsmaßnahmen vorgestellt. Dazu gehört unter anderem die Erhöhung des Grundfreibetrags. Der Grundfreibetrag soll das Existenzminimum abdecken: Darauf werden keine Steuern bezahlt. Heißt, wer nur das Existenzminimum im Jahr verdient, zahlt keine Steuern. Aktuell liegt der Grundfreibetrag bei 10.347 Euro. 2023 soll er um 285 Euro steigen. Das heißt: Wer nächstes Jahr weniger als 10.633 Euro verdient, muss keine Steuern zahlen. Und 2024 steigt der Betrag nochmal auf 10.933 Euro. Damit soll hier die Inflation ausgeglichen werden.
3. Entlastungspaket: Neuer Einkommenssteuertarif gegen kalte Progression
Nochmals „mindestens“ 65 Milliarden Euro will die Regierung mit dem 3. Entlastungspaket ausgeben, um Bürgerinnen und Bürger von den steil angestiegenen Energiekosten zu entlasten. Erste Zahlungen sollen bis Jahresende auf den Konten sein - weitere ab Januar. Dazu kommen Änderungen, die sich auszahlen. Ab Januar 2023 sollen neue Tarifeckwerte im Einkommenssteuertarif gelten. Davon profitieren laut Regierung rund 48 Millionen Steuerpflichtige. Mittel der Wahl ist ein steuerlicher Ausgleich für die kalte Progression - also den Effekt, dass jemand durch eine Lohnerhöhung, die höchstens die Inflation ausgleicht, in einen höheren Steuertarif kommt und somit letztlich bezogen auf die Kaufkraft weniger Geld in der Tasche hat. Laut Finanzminister Christian Lindner (FDP) beträgt die Entlastung zehn Milliarden Euro.
Kinderfreibetrag wird erhöht: Für wen gilt das?
Eltern haben neben dem Grundfreibetrag, der für alle Erwachsenen gilt noch den Kinderfreibetrag. Das soll das Existenzminirum für Kinder abdecken, also auch hier: Bis zu der Grenze müssen die Eltern keine Steuern zahlen. 2021 betrug der Kinderfreibetrag 2.730 Euro pro Elternteil. Schon dieses Jahr, also 2022, soll der Betrag steigen auf 2.810 Euro. Und 2023 steigt er erneut auf 2.880 Euro, 2024 auf 2.994 Euro. Noch dazu soll das Kindergeld ansteigen, um Eltern zu entlasten. Mehr Details zur Höhe des Kindergelds gibt es hier in diesem Text.
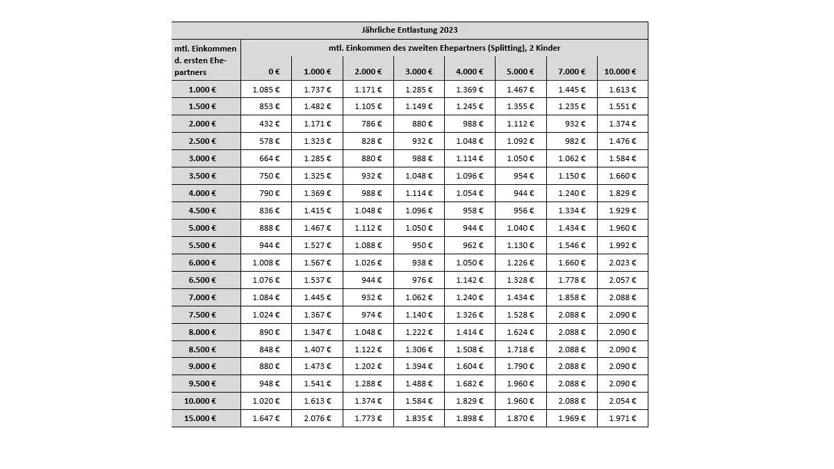
Steuer-Entlastungen 2023: Rechner nach Gehalt
Kritik an den Plänen der Regierung hat es schon gegeben, weil die Änderungen nicht denjenigen am meisten hilft, die am wenigsten Geld haben. Höhere Einkommen werden stärker entlastet – weil sie auch höhere Steuern zahlen.

Die steuerlichen Entlastungen sind mit dem neuen Entlastungspaket zu erwarten.
Berechnungen des Nürnberger Steuerprofessors Frank Hechtner